积分模拟查询
落户条件自测
资料在线下载
服务指南纸质版
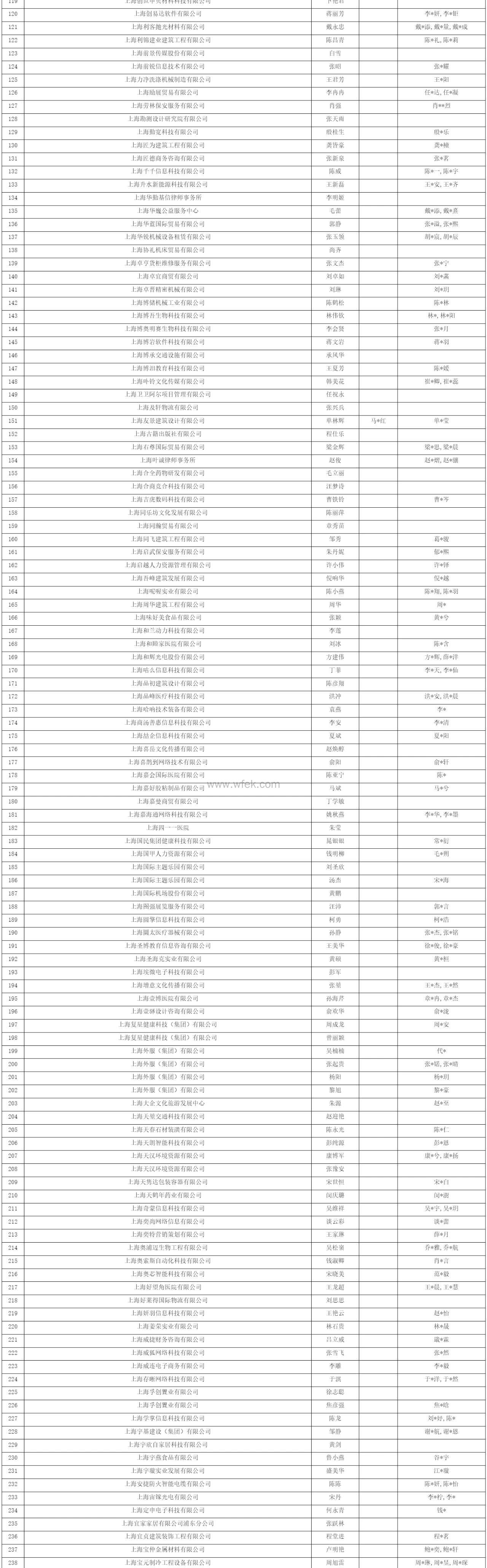
上海人社局最新一批落户名单公示来了,一起来看看最新上海落户公示名单查询的结果!共2608人!本次上海居转户成功落户人数为1174人,上海引进人才成功落户人数为1434人。看看落户人数名单有你的吗?

30秒快速测试你是否符合落户条件,点击:上海落户条件自测(2025)
本月第1批居转户公示的主申请人为1174人。
人才引进名单公示期为5天,本次公示时间截止到8月4日;
人才引进的情况,本月第二批人才引进公示为1434人。
名单公示期为5天,本次公示时间截止到8月19日。
篇幅问题,如果想看具体名单,更多落户名单人数详情可扫描右侧二维码获取➡➡➡
需要查看名单的人,要尽快在截止日前查看。
最后恭喜成功落户上岸的人,努力没有白费!
👇点击下方图片|30s一键自测你的上海积分120分数情况
居转户落户2025新政申请条件
根据上海市政府最新发布的《持有〈上海市居住证〉人员申办本市常住户口办法》,其中申办条件为:
持证人员申办本市常住户口,应当同时符合下列条件:
(一)持有《上海市居住证》满7年;
(二)持证期间按照规定参加本市职工社会保险满7年;
(三)持证期间依法在本市缴纳个人所得税;
(四)在本市被评聘为中级及以上专业技术职务或者具有技师(国家二级职业资格证书)以上职业资格,且专业、工种与所聘岗位相对应;
(五)无刑事犯罪记录等其他不宜转办常住户口的情形。




引进人才落户上海申请条件
1.用人单位应与引进落户的人才签订劳动(聘用)合同
2.单位正常帮个人缴纳上海社保。
3.距法定退休年龄5年以上。对于特别优秀或者特别紧缺急需的,可适当放宽年限要求。(男55 女50)
4.满足下面任一条件
条件一.重点机构+硕士研究生学历学位+一年两倍社保。
条件二.重点机构+本科及以上学历学位+两年两倍社保。
通过本科双证或者硕士双证人才引进落户的,对于学历的专业没有限制,只需要所学专业和从事的工作岗位相匹配就可以。
条件三.重点机构+技师+两年两倍社保。
条件四.博士研究生学历学位+六个月两倍社保。
条件五.高级职称或高级技师+在申请单位工作满1年+一年2倍(原则上三个月1.5倍社保就可以、不过落户过程中需要2倍社保)(不占用公司落户名额)。
条件六.开公司落户。首轮创业投资额1000万元及以上,或者累计获得创业投资额2000万元及以上。持股比例不低于10%、连续工作满2年
条件七.投资落户。投资累计达到3000万元的本市创业投资机构的合伙人,或副总裁及以上的高级管理人才。
条件八.高收入人才落户。最近4年内累计36个月3倍社保+个人所得税累计达到100万元
条件九.企业家落户。上年度应纳税额不低于1000万元;或企业在上海证券交易所、深圳证券交易所等资本市场挂牌上市。


因篇幅原因,更多落户名单人数详情可扫描右侧二维码获取➡➡➡
以上内容希望能帮到大家,如果你在上海居住证积分或者上海落户途中遇到任何问题都可以向我们详细咨询,我们有资深的专业老师为您解答!

一对一规划顾问

为了确保您的测评结果更准确, 我们申请您留下联系方式以便我们人工审核后通过电话回访告诉您准确的测评结果。*您的信息受 《隐私保护声明》保护
提交成功




一对一规划顾问
更多福利,等你解锁!